Beranda
/ Integral Substitusi Bentuk Akar - Soal Dan Pembahasan Metode Substitusi Integral Fungsi Aljabar Doc Document - Apakah integral fungsi aljabar dengan substitusi?
Integral Substitusi Bentuk Akar - Soal Dan Pembahasan Metode Substitusi Integral Fungsi Aljabar Doc Document - Apakah integral fungsi aljabar dengan substitusi?
Integral Substitusi Bentuk Akar - Soal Dan Pembahasan Metode Substitusi Integral Fungsi Aljabar Doc Document - Apakah integral fungsi aljabar dengan substitusi?. Berdasarkan permisalan ini, maka persamaan integralnya menjadi: Pada teknik ini, bentuk fungsi f(x) dapat diubah menjadi bentuk. Berdasarkan permisalan ini, maka persamaan integralnya menjadi: Integral dengan integran dalam bentuk akar diatas dapat dikerjakan dengan memisalkan dari bentuk diatas sebagai berikut: Siapa bentuk integral yang dapat dikerjakan dengan substitusi?
See full list on studiobelajar.com Apakah substitusi merupakan dasar dari penyelesaian integral? Berikut proses penyelesaian integral hasil substitusi di atas. May 10, 2020 · postingan ini membahas contoh soal integral dengan substitusi dan pambahasannya. Perhatikan contoh penyelesaian berikut ini.
Integral Parsial Cara Cepat Cara Golden from 4.bp.blogspot.com About press copyright contact us creators advertise developers terms privacy policy & safety how youtube works test new features press copyright contact us creators. Rumus integral tak tentu beserta contoh dan penyelesaiannya. Atau jika fungsi yang diturunkan adalah fungsi trigonometrinya langsung, maka sebagai contoh , mendapat integralnya dengan memisalkan: Atau sehingga atau 2y dx = dy. Perubahan pada fungsi trigonometri dapat dilakukan sesuai dengan persamaan berikut: Siapa bentuk integral yang dapat dikerjakan dengan substitusi? Contoh soal integral soal no 1 disajikan sebagai berikut. Apakah substitusi merupakan dasar dari penyelesaian integral?
Berdasarkan permisalan ini, maka persamaan integralnya menjadi:
Apr 22, 2015 · bentuk hubungan keduanya (a dx = n du) substitusi fungsi pemisalan ke bentuk integral awal. Integral adalah invers dari operasi turunan. Diantara bentuk integral yang dapat dikerjakan dengan substitusi adalah bentuk ∫ (fx) n d(fx). Berdasarkan permisalan ini, maka persamaan integralnya menjadi: Integral dengan integran dalam bentuk akar diatas dapat dikerjakan dengan memisalkan dari bentuk diatas sebagai berikut: Jika hasil integral diatas disubstitusi dengan per. Pada teknik ini, dapat dimisalkan dan selanjutnya menyelesaikan integral dalam fungsi f(y) menggunakan teknik substitusi seperti di awal. Contoh diatas merupakan teknik substitusi pada integral tak tentu. Berdasarkan permisalan ini, maka persamaan integralnya menjadi: Sama hal dengan fungsi aljabar, fungsi trigonometri dapat menggunakan teknik substitusi ini jika integran terdiri dari perkalian sebuah fungsi dengan fungsi turunannya sendiri. Perhatikan contoh penyelesaian berikut ini. Integral materi pembahasan kali ini mengenai materi integral besesrta rumus subtitusi parsial tak tentu dan tentu dan contoh soal. Jika hasil integral diatas disubstitusi dengan permisalan u di peroleh:
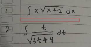
Contoh diatas merupakan teknik substitusi pada integral tak tentu. Jika hasil integral diatas disubstitusi dengan permisalan y, diperoleh: Atau jika fungsi yang diturunkan adalah fungsi trigonometrinya langsung, maka sebagai contoh , mendapat integralnya dengan memisalkan: Substitusi bentuk akar bila integran memuat faktor berbentukn ax +b , maka kita dapat menyelesaikan integral dengan menggunakan substitusi : Tentukan hasil dari ∫ x√ x2 + 1 dx.
Integral Dx Akar 16 X 2 Adalah Integral Substitusi Trigonometri Bantu Pleasee Brainly Co Id from id-static.z-dn.net See full list on studiobelajar.com Contoh diatas merupakan teknik substitusi pada integral tak tentu. Integral materi pembahasan kali ini mengenai materi integral besesrta rumus subtitusi parsial tak tentu dan tentu dan contoh soal. Jika maka, integral ini dapat diselesaikan dengan memisalkan u = g(x) dan sehingga diperoleh persamaan: Jika hasil integral diatas disubstitusi dengan permisalan y, diperoleh: Tentukan hasil dari ∫ x√ x2 + 1 dx. Pada teknik ini, dapat dimisalkan dan selanjutnya menyelesaikan integral dalam fungsi f(y) menggunakan teknik substitusi seperti di awal. Perubahan pada fungsi trigonometri dapat dilakukan sesuai dengan persamaan berikut:
Pada teknik ini, bentuk fungsi f(x) dapat diubah menjadi bentuk.
Berdasarkan permisalan ini, maka persamaan integralnya menjadi: Sehingga perlu juga dilakukan perubahan integran. May 10, 2020 · postingan ini membahas contoh soal integral dengan substitusi dan pambahasannya. About press copyright contact us creators advertise developers terms privacy policy & safety how youtube works test new features press copyright contact us creators. Untuk menciptakan persamaan integral dalam u, maka interval dirubah menjadi : Pada teknik ini, bentuk fungsi f(x) dapat diubah menjadi bentuk. Fungsi trigonometrisebagai integran, untuk beberapa kasus, tidak bisa langsung diintegralkan seperti rumus integral awal. Apakah substitusi merupakan dasar dari penyelesaian integral? More images for integral substitusi bentuk akar » Sama hal dengan fungsi aljabar, fungsi trigonometri dapat menggunakan teknik substitusi ini jika integran terdiri dari perkalian sebuah fungsi dengan fungsi turunannya sendiri. Atau sehingga atau 2y dx = dy. Pembahasan soal integral eksponensial ini menggunakan metode substitusi. Jika , untuk mendapat integralnya dengan memisalkan:
Sama hal dengan fungsi aljabar, fungsi trigonometri dapat menggunakan teknik substitusi ini jika integran terdiri dari perkalian sebuah fungsi dengan fungsi turunannya sendiri. Berdasarkan permisalan ini, maka persamaan integralnya menjadi : Jika hasil integral diatas disubstitusi dengan permisalan y, diperoleh: Rumus integral tak tentu beserta contoh dan penyelesaiannya. Pada integral tertentu yang memiliki nilai pada interval tertentu, maka interval tersebut harus disubstitusi ke dalam interval baru untuk variabel u.
Contoh Soal Dan Pembahasan Integral Substitusi Bentuk Akar Kumpulan Contoh Surat Dan Soal Terlengkap from i2.wp.com Jika maka, integral ini dapat diselesaikan dengan memisalkan u = g(x) dan sehingga diperoleh persamaan: Integral bentuk aljabar trigonometri menggunakan cara substitusi maupun parsial diambil dari buku matematika gulam halim. Jika hasil integral diatas disubstitusi dengan permisalan u, diperoleh: More images for integral substitusi bentuk akar » Diantara bentuk integral yang dapat dikerjakan dengan substitusi adalah bentuk ∫ (fx) n d(fx). Perhatikan contoh penyelesaian berikut ini. Pada teknik ini, bentuk fungsi f(x) dapat diubah menjadi bentuk. Untuk menciptakan persamaan integral dalam u, maka interval dirubah menjadi :
Sehingga perlu juga dilakukan perubahan integran.
Bentuk di atas menunjukkan bagaimana pemisalan sebelumnya diterapkan pada integral. Perhatikan bentuk ∫ x√ x2 + 1 dx, kita dapat mengubahnya menjadi ∫ √ x2 + 1 x dx. Siapa bentuk integral yang dapat dikerjakan dengan substitusi? Jun 10, 2021 · soal integral substitusi bentuk akar kelas xii ipa dari mettapedia. Soal integral substitusi bentuk akar kelas xii ipa. Integral bentuk aljabar trigonometri menggunakan cara substitusi maupun parsial diambil dari buku matematika gulam halim. Berdasarkan permisalan ini, maka persamaan integralnya menjadi: Pada teknik ini, bentuk fungsi f(x) dapat diubah menjadi bentuk. Untuk menciptakan persamaan integral dalam u, maka interval dirubah menjadi : Jika hasil integral diatas disubstitusi dengan permisalan u, diperoleh: Apakah substitusi merupakan dasar dari penyelesaian integral? More images for integral substitusi bentuk akar » Apakah integral fungsi aljabar dengan substitusi?
Berbagi
Posting Komentar
untuk "Integral Substitusi Bentuk Akar - Soal Dan Pembahasan Metode Substitusi Integral Fungsi Aljabar Doc Document - Apakah integral fungsi aljabar dengan substitusi?"
Posting Komentar untuk "Integral Substitusi Bentuk Akar - Soal Dan Pembahasan Metode Substitusi Integral Fungsi Aljabar Doc Document - Apakah integral fungsi aljabar dengan substitusi?"